Warning
: your browser is no longer supported.
CLICK HERE
to review the supported browser list.
CLICK HERE
to download a PDF version of this report to read and/or print.
Menu
Close
Meet the Board
2024 Proxy Statement
A Message from PPG's Independent Lead Director
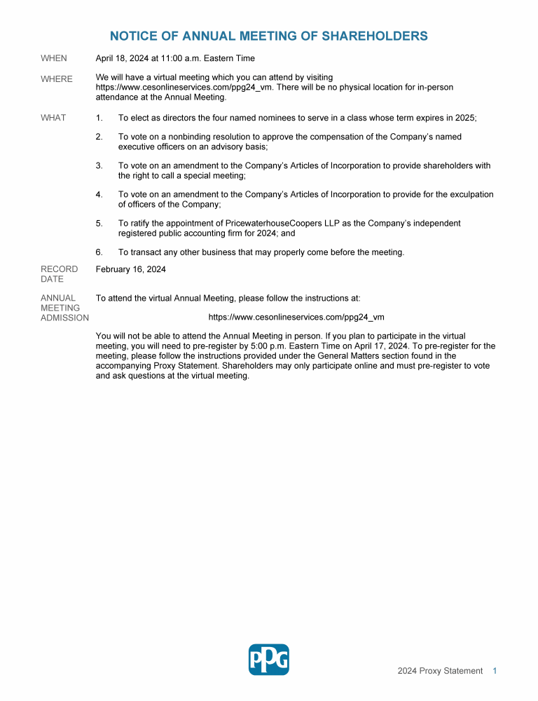
Notice of Annual Meeting of Shareholders
Table of Contents
Proxy Statement Summary
Sustainability, Culture and Human Rights
- Our Culture
- Our Communities
- Our Environment
- Human Rights
Diversity of Our Directors
Skills, Expertise and Experience of Our Directors
Proposals 1 - 5
Proposal 1: Election of Directors to Serve in a Class Whose Term Expires in 2025
Proposal 2: Advisory Vote on Approval of the Compensation of the Named Executive Officers
Proposal 3: Proposal to Amend the Articles of Incorporation to Provide Shareholders with the Right to Call a Special Meeting
Proposal 4: Proposal to Amend the Articles of Incorporation to Provide for the Exculpation of Officers of the Company
Proposal 5: Ratification of Independent Registered Public Accounting Firm
Corporate Governance
Our Governance Highlights
Board Composition, Refreshment and Diversity
Director Independence
Board Leadership Structure
Shareholder Engagement
The Board's Role in ESG
Board Oversight of PPG's Strategy
Director Time Commitments
The Board's Role in Risk Management
Executive Succession Planning
Corporate Governance Guidelines, Board Self-Evaluation and Board Orientation
Director Resignation Policy
Review and Approval or Ratification of Transactions with Related Persons
Certain Relationships and Related Transactions
Board Committees
Director Candidates
Shareholder Recommendations or Nominations for Director and Proxy Access
Independent Compensation Consultant to the Human Capital Management and Compensation Committee
Compensation Program Design Mitigates Risk
Compensation Committee Interlocks and Insider Participation
Codes of Ethics
Communications with the Board
Directors' Compensation
Compensation of Directors
Executive Compensation
Compensation Discussion and Analysis Roadmap
Executive Compensation Best Practices
Compensation Discussion and Analysis
- How Did We Perform?
- How Do We Determine Compensation?
- How Do We Address Risk?
- How Do We Pay Our Executives?
- Why You Should Approve Our Say-On-Pay
Compensation of Executive Officers
- Summary Compensation Table (2021 - 2023)
- All Other Compensation Table (2023)
- Grants of Plan Based Awards (2023)
- Outstanding Equity Awards at Fiscal Year-End (2023)
- Option Exercises and Stock Vested (2023)
- Pension Benefits (2023)
- Non-Qualified Deferred Compensation (2023)
- Potential Payments Upon Termination or Change in Control
- Pay Ratio
- Pay Versus Performance
Additional Information
Equity Compensation Plan Information
Beneficial Ownership
General Matters
Other Information
Annex A - Reconciliation of Non-GAAP Financial Measures
Help & Features
Download PDF
Downloads
Company Home
Share
Print
Clickable Index
Thumbnails
Accessibility Features
Help
Menu
Zoom In
Zoom Out
Zoom In
Search
Search
Search
Home
Home
Home
Home
Home
Zoom Out
Accessibility Features
Skip Navigation
2024 Proxy Statement
{hosting_shortdoctitlestripped}
{doc1_shortdoctitlestripped}
{doc2_shortdoctitlestripped}
{doc3_shortdoctitlestripped}
{doc4_shortdoctitlestripped}
{doc5_shortdoctitlestripped}
{doc6_shortdoctitlestripped}
{doc7_shortdoctitlestripped}
{doc8_shortdoctitlestripped}
{doc9_shortdoctitlestripped}
{doc10_shortdoctitlestripped}
{doc11_shortdoctitlestripped}
{doc12_shortdoctitlestripped}
{doc13_shortdoctitlestripped}
{doc14_shortdoctitlestripped}
{doc15_shortdoctitlestripped}
Meet the Board
2024 Proxy Statement
A Message from PPG's Independent Lead Director
Notice of Annual Meeting of Shareholders
Table of Contents
Proxy Statement Summary
Sustainability, Culture and Human Rights
- Our Culture
- Our Communities
- Our Environment
- Human Rights
Diversity of Our Directors
Skills, Expertise and Experience of Our Directors
Proposals 1 - 5
Proposal 1: Election of Directors to Serve in a Class Whose Term Expires in 2025
Proposal 2: Advisory Vote on Approval of the Compensation of the Named Executive Officers
Proposal 3: Proposal to Amend the Articles of Incorporation to Provide Shareholders with the Right to Call a Special Meeting
Proposal 4: Proposal to Amend the Articles of Incorporation to Provide for the Exculpation of Officers of the Company
Proposal 5: Ratification of Independent Registered Public Accounting Firm
Corporate Governance
Our Governance Highlights
Board Composition, Refreshment and Diversity
Director Independence
Board Leadership Structure
Shareholder Engagement
The Board's Role in ESG
Board Oversight of PPG's Strategy
Director Time Commitments
The Board's Role in Risk Management
Executive Succession Planning
Corporate Governance Guidelines, Board Self-Evaluation and Board Orientation
Director Resignation Policy
Review and Approval or Ratification of Transactions with Related Persons
Certain Relationships and Related Transactions
Board Committees
Director Candidates
Shareholder Recommendations or Nominations for Director and Proxy Access
Independent Compensation Consultant to the Human Capital Management and Compensation Committee
Compensation Program Design Mitigates Risk
Compensation Committee Interlocks and Insider Participation
Codes of Ethics
Communications with the Board
Directors' Compensation
Compensation of Directors
Executive Compensation
Compensation Discussion and Analysis Roadmap
Executive Compensation Best Practices
Compensation Discussion and Analysis
- How Did We Perform?
- How Do We Determine Compensation?
- How Do We Address Risk?
- How Do We Pay Our Executives?
- Why You Should Approve Our Say-On-Pay
Compensation of Executive Officers
- Summary Compensation Table (2021 - 2023)
- All Other Compensation Table (2023)
- Grants of Plan Based Awards (2023)
- Outstanding Equity Awards at Fiscal Year-End (2023)
- Option Exercises and Stock Vested (2023)
- Pension Benefits (2023)
- Non-Qualified Deferred Compensation (2023)
- Potential Payments Upon Termination or Change in Control
- Pay Ratio
- Pay Versus Performance
Additional Information
Equity Compensation Plan Information
Beneficial Ownership
General Matters
Other Information
Annex A - Reconciliation of Non-GAAP Financial Measures
Meet the Board
2024 Proxy Statement
2024 Proxy Statement
A Message from PPG's Independent Lead Director
Notice of Annual Meeting of Shareholders
Table of Contents
Proxy Statement Summary
Sustainability, Culture and Human Rights
- Our Culture
- Our Communities
- Our Environment
- Human Rights
Diversity of Our Directors
Skills, Expertise and Experience of Our Directors
Proposals 1 - 5
Proposals 1 - 5
Proposal 1: Election of Directors to Serve in a Class Whose Term Expires in 2025
Proposal 2: Advisory Vote on Approval of the Compensation of the Named Executive Officers
Proposal 3: Proposal to Amend the Articles of Incorporation to Provide Shareholders with the Right to Call a Special Meeting
Proposal 4: Proposal to Amend the Articles of Incorporation to Provide for the Exculpation of Officers of the Company
Proposal 5: Ratification of Independent Registered Public Accounting Firm
Corporate Governance
Corporate Governance
Our Governance Highlights
Board Composition, Refreshment and Diversity
Director Independence
Board Leadership Structure
Shareholder Engagement
The Board's Role in ESG
Board Oversight of PPG's Strategy
Director Time Commitments
The Board's Role in Risk Management
Executive Succession Planning
Corporate Governance Guidelines, Board Self-Evaluation and Board Orientation
Director Resignation Policy
Review and Approval or Ratification of Transactions with Related Persons
Certain Relationships and Related Transactions
Board Committees
Director Candidates
Shareholder Recommendations or Nominations for Director and Proxy Access
Independent Compensation Consultant to the Human Capital Management and Compensation Committee
Compensation Program Design Mitigates Risk
Compensation Committee Interlocks and Insider Participation
Codes of Ethics
Communications with the Board
Directors' Compensation
Directors' Compensation
Compensation of Directors
Executive Compensation
Executive Compensation
Compensation Discussion and Analysis Roadmap
Executive Compensation Best Practices
Compensation Discussion and Analysis
- How Did We Perform?
- How Do We Determine Compensation?
- How Do We Address Risk?
- How Do We Pay Our Executives?
- Why You Should Approve Our Say-On-Pay
Compensation of Executive Officers
- Summary Compensation Table (2021 - 2023)
- All Other Compensation Table (2023)
- Grants of Plan Based Awards (2023)
- Outstanding Equity Awards at Fiscal Year-End (2023)
- Option Exercises and Stock Vested (2023)
- Pension Benefits (2023)
- Non-Qualified Deferred Compensation (2023)
- Potential Payments Upon Termination or Change in Control
- Pay Ratio
- Pay Versus Performance
Additional Information
Additional Information
Equity Compensation Plan Information
Beneficial Ownership
General Matters
Other Information
Annex A - Reconciliation of Non-GAAP Financial Measures
Home
Home
Home
Home
Print
Print
Print
Clickable Index
Clickable Index
Thumbnails
Thumbnails
Help
Help
Unpin Menu Bar
Pin Menu Bar
Go to previous page
Go to previous page
Go to previous page
Go to previous page
Page 4 of 95
Go to next page
Go to next page
Go to next page
Single Page View
Double Page View
<
Previous
Continue
>
Accessibility Features
WARNING: JavaScript is disabled.
CLICK HERE
for help.
Click here
for a list of supported browsers.